根据教育部《2023年全国硕士研究生招生工作管理规定》(教学〔2022〕3号)、《威廉williamhill2023年硕士研究生招生复试录取工作方案》(校研究生〔2023〕9号)以及学校研究生复试录取工作部署和要求,为做好2023年硕士研究生复试录取工作,结合学院实际,制定本实施细则。
一、复试方式
我院2023年硕士研究生招生复试实行线下(现场)复试方式。
二、招生计划及复试比例
专业代码 |
专业名称 |
拟招生数 |
复试比例 |
备注 |
是否调剂 |
083200 |
食品科学与工程 |
待定 |
第一志愿:1:1.8 调剂: 待定
|
|
是 |
097200 |
食品科学与工程 |
21* |
|
否 |
095135 |
食品加工与安全 |
43* |
含士兵计划 |
否 |
086000 |
生物与医药 |
待定 |
|
是 |
095135 |
食品加工与安全 |
待定 |
非全日制 |
否 |
*备注:具体招生计划将根据学校硕士研究生招生指标分配最终方案确定,学校和学院保留微调招生计划的权利。
三、复试资格审查材料
(一)材料要求详见《威廉williamhill2023年硕士研究生招生复试录取工作方案》中“四、复试安排(二)资格审查”,网页链接如下:
https://grs.gdou.edu.cn/info/1029/5741.htm
(二)材料下载,详见《威廉williamhill2023年硕士研究生复试考生须知》(https://grs.gdou.edu.cn/info/1029/5751.htm)附件1:威廉williamhill2023年硕士复试资格审查材料清单(内含思想政治和品德考核表 & 诚信复试承诺书)
(三)个人简历及其他体现个人学习科研能力的佐证材料。(例如:英语四六级证书、各类获奖证书、科研成果、论文以及证明自己研究潜能的相关材料等的复印件等,应与调剂说明填写的相关成果对应,无法提供相关材料的将视情况取消复试资格)
四、复试考生名单
(一)第一志愿考生
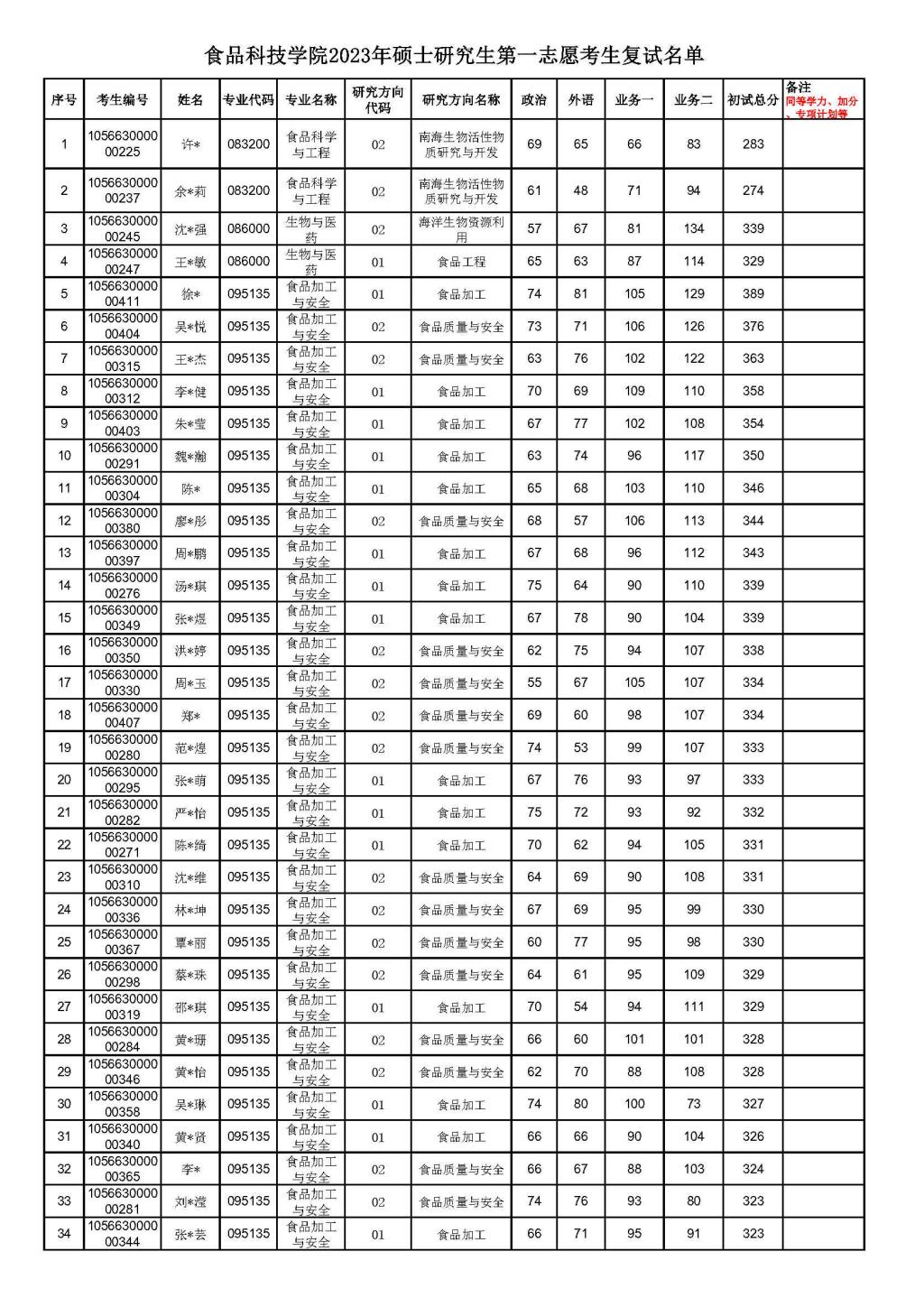
复试名单详见附件2,若名额最后一名出现成绩并列的,选取按照初试全国统考科目成绩较高的考生。
(二)调剂考生
调剂须在中国研究生招生信息网(以下简称“研招网”)调剂系统中接收并确认我院复试通知。
1.调剂系统开放时间
我院将根据实际情况开展若干次调剂复试工作。调剂系统开放时间为4月6日。如有需要开展多批次的调剂,将提前在学院网站上公告。
2.调剂具体条件
(1)符合《2023年全国硕士研究生招生工作管理规定》《威廉williamhill2023年硕士研究生招生复试录取工作方案》中调剂基本要求。
(2)我院相关学位点针对调剂考生,具体要求如下:
调剂专业代码 |
调剂专业名称 |
考生第一志愿报考专业代码要求 |
考生第一志愿报考专业(或学科)要求及初试科目要求 |
083200 |
食品科学与工程 |
08 |
一志愿专业为食品科学与工程专业;且专业课一为统考数学(一)或数学(二) |
086000 |
生物与医药 |
08 |
一志愿专业为0860生物与医药、0832食品科学与工程、0836生物工程、0822轻工技术与工程等相关专业,专业课与我校自命题科目相同或相近,成绩要求过国家A线,且专业课一为统考数学(一)或数学(二) |
3.符合调剂要求的考生可在调剂系统开放时间内填报调剂志愿,我院将择优复试并发送复试通知,请考生于截止时间前(6小时内)确认,逾时未确认我院将取消该复试通知。如考生放弃复试或在参加我校复试前已接收其他单位待录取,将在本批次调剂生源中择优递补复试考生。
报考我校的调剂生调剂志愿锁定时间为24小时,锁定时间到达后,如我院未明确受理意见,系统自动解锁,考生可修改本调剂志愿。请考生在填报志愿时认真查看调剂要求。对已接受我校待录取的考生,我校一律不予解锁。
五、复试安排
(一)报到、资格审查
所在校区:湖光校区
地址:广东省湛江市麻章区海大路1号williamhill中国
报到、资格审查时间:2023年3月31日上午9:00~12:00
报到地点:williamhill中国望海楼(第三实验楼)A栋114室
(二)第一志愿进入复试考生复试安排:
各专业复试时间地点安排:
复试时间具体如下表:
专业 |
复试时间 |
食品科学与工程(083200/097200) |
专业课知识考核(现场笔试): 2023年3月31日(14:00~18:00) 英语听力与口语考核、 综合素质与能力考核(现场面试): 4月1日~2日(8:30~18:00) |
生物与医药(086000) |
食品加工与安全(095135) |
复试地点:威廉williamhill(湖光校区)williamhill中国(望海楼A栋),具体考场地址稍后通知。
复试内容包括专业课知识考核、英语听力与口语考核、综合素质与能力考核三个部分,满分100分。复试成绩中专业课复试考核占30%,英语听力与口语考核占20%、综合素质和能力考核占50%。复试成绩不合格者,不予录取。
(三)调剂考生按各批次分别进行复试,报到时间、复试时间待定,请调剂考生及时关注学院网站、研招网站内消息。
六、拟录取
(一)拟录取名单的确定
根据学习方式(全日制、非全日制)、招生类别、学位点按拟录取总分数从高分到低分确定拟录取名单。按第一志愿和调剂复试考生分别排序。拟录取总分=初试加权分数+复试加权分数,复试成绩和录取成绩均保留两位小数,本学院复试权重统一设定为40%。
拟录取总分计算公式:
拟录取分数=(初试成绩÷5)×60%+复试成绩×40%。
录取名额最后一名出现录取成绩并列的,按照录取名额录取初试成绩较高的考生。
复试成绩低于60分(不含60分),确定为复试不合格,复试不合格的考生不予录取。
在某学位点录取名额最后一名出现录取成绩并列的,按照录取名额录取初试成绩较高的考生。若有考生放弃或招生计划动态调整,依学校复试录取方案递补录取。
根据《2023年全国硕士研究生招生工作管理规定》第五十八条规定,我院认为有必要时,可对考生再次复试。
(二)有下列情形之一的,可视为复试不合格,不予录取:
1.思想政治素质和品德审查不合格;
2.复试成绩低于60分;
3.同等学力加试任一门成绩不合格(低于60分);
4.提供虚假信息或漏报、瞒报真实信息。
(三)新生入学后3个月内,我院将所有考生进行全面复查。复查不合格者,取消学籍。
(四)体检
体检项目一般包含以下几类:
1.内科:血压、心肺腹等查体
2.外科:身高、体重、淋巴结、甲状腺、皮肤、脊柱等查体
3.五官科:视力、辨色力、听力、口腔
4.验科:血常规、肝功能、肾功能
5.放射科:胸片
具体体检要求请于体检前向体检医院咨询。
考生自行至当地二级以上医院体检,体检表原件须在学院拟录取成绩公示后两周内邮寄至相关学院。体检不合格者或未在学校规定时间内提交体检表者,取消录取资格。
温馨提示:在体检单上请务必写清楚自己的姓名、准考证号、拟录取学院,避免产生不必要的麻烦。
学校在新生入学时统一组织体检复检,由校门诊部组织;复检不合格者,按照上级和学校有关规定处理。
七、信息公开
我院提前公布复试录取工作实施细则、复试人员名单。我院对复试名单(包括考生姓名、考生编号、初试各科成绩等信息)、拟录取名单(包括考生姓名、考生编号、初试成绩、复试成绩、总成绩等信息)于学院官网进行公示,对参加专项计划、享受加分或照顾政策的考生相关情况,在公布考生名单时同时进行说明。公示时间不少于10个工作日。公示期间名单不得修改,如有变动,须对变动部分作出专门说明,并对变动内容另行公示10个工作日。
八、其他
(一)本实施细则依据《威廉williamhill2023年硕士研究生招生复试录取工作方案》要求制定。
(二)本细则如与教育部、广东省教育考试院或学校公布的最新政策有出入,以其政策为准。
(三)咨询及申诉联系方式:
学院咨询电话:0759-23963030
学院咨询邮箱:spkjxy@godou.edu.cn
学院监督电话:0759-2396069
(四)考生凭有效身份证件和《2023年全国硕士研究生招生考试准考证》进入我校湖光校区。
(五)请各位考生提前做好交通、住宿规划,沿途佩戴好口罩,做好个人自我防护。
附件1:威廉williamhill2023年硕士复试资格审查材料清单
(下载链接:https://grs.gdou.edu.cn/info/1029/5751.htm)
附件2:williamhill中国2023年硕士研究生第一志愿考生复试名单
williamhill中国
2023年3月27日



